中华人民共和国交通运输部
·
河南省交通运输厅
·
郑州市人民政府
·
郑州政务服务网
繁體
登录
首页
单位概况
单位职责
领导介绍
机构设置
信息公开
信息公开指南
信息公开制度
依申请公开
信息公开年报
双公示
信用交通
信用动态
查询间隔10秒!
首页
交通执法支队
通知公告
正文
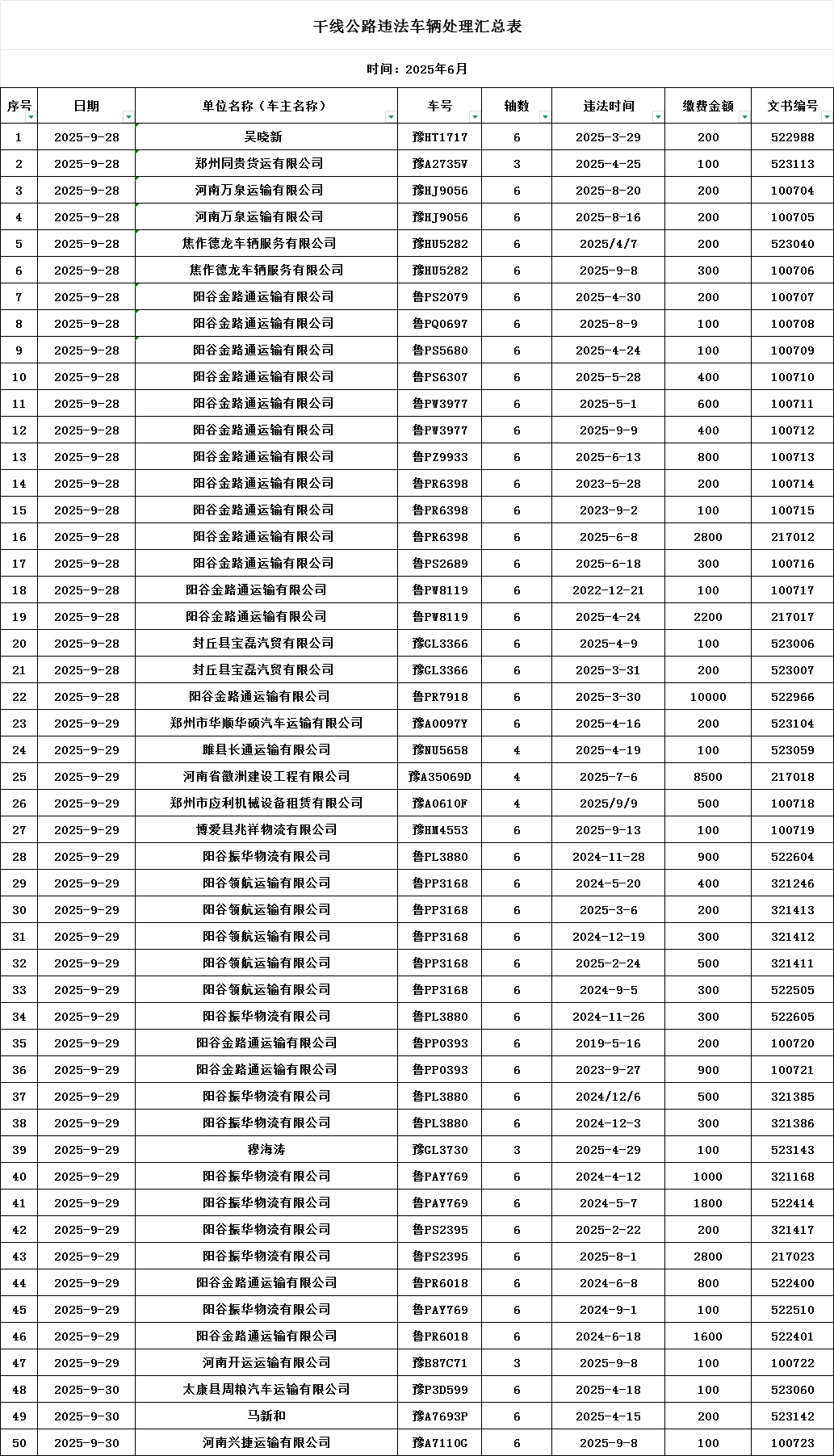
9.29-9.30周统计表
来源:本站 时间:2025-10-01 16:46
打印此文
关闭窗口
网站地图
联系我们
主办单位:郑州市交通运输局
地址:郑州市工人南路165号
网站标识码:4101000045
豫ICP备2023040025号-1
豫公网安备 41010202002546号